How To Soothe Heartburn

What Is A Secured Party

Pursuant to the Uniform Commercial Code Secured party. Citizen and has a US.

Secured Party Creditor Freedom From Servitude

Where a secured party is an organisation an individual must be nominated to act on its behalf.

What is a secured party. A person or organisation to whom a debt is owed. Secured debts are those for which the borrower puts up some asset as surety or collateral for the loan. Secured Party means a lender seller or other person in whose favor there is a security interest including a person to whom accounts or chattel paper have been sold.

If an initial financing statement is filed under Section 9-514 a the assignee named in the initial financing. If you did not find the information you need enter a descriptive word or phrase in the Search field located in the upper right corner. Means a person in whose favor a security interest is created or provided for under a security agreement whether or not any obligation to be secured is outstanding.

A person in whose favor a security interest is created or provided for under a security agreement whether or not any obligation to be secured is outstanding. The secured party is the lender seller or other entity that has rights to the collateral pledged against a loan in the event that the debtor defaults. A secured party of record with respect to a financing statement is a person whose name is provided as the name of the secured party or a representative of the secured party in an initial financing statement that has been filed.

Birth certificate or Certificate of Citizenship if born abroad or permanent resident who has a green card and social security number. 322013 Definition of SECURED PARTY. Who has voided and canceled the contracts creating the US.

Except as otherwise provided in subsection d if a secured party has possession of collateral. Secured Party Law and Legal Definition. This individual or entity may be some type of lender including a bank private lender or a finance company.

A person that holds an agricultural lien. Moreover the term includes a person that holds an agricultural lien. 6232014 A secured party is one who holds an interest in a companys assets.

Badgerland Financial ACA 4606. A secured party group contains the details of the person or organisation who has an interest in the property - such as yourself or your organisation. You can add one or more secured party groups to My Portfolio within your organisations online services account.

Secured parties are. Defined in the UCC as. Consumer Portfolio Services Inc.

In the PPSA Personal Property Securities Act and PPSR Personal Property Securities Register they are referred to as a secured party. USE SP STATEWIDE WISCONSIN NATIONWIDE OTHER. The risk of default on a secured debt called the counterparty risk to the lender tends to.

These details include the secured partys email and postal address for service so they can be contacted about any. A Secured Party Creditor SPC is someone who has gone ahead to void and terminate all contracts that make them a United States citizen especially with regards to a birth certificate or in some. Community 1st Credit Union.

1 reasonable expenses including the cost of insurance and payment of taxes or other charges incurred in the custody preservation use or operation of the collateral are chargeable to the debtor and are secured by the collateral. The lender or seller who is holding the security interest or lien that is against an asset that has been pledged. To manage the groups information users must add the secured party group to My Portfolio on the PPSR dashboard.

1312021 A secured party is any party who holds an asset as a pledge or collateral associated with a debt owed to that party. Community First Credit Union. Or send us an e-mail by clicking on Contact the Secretary of.

They would record this interest in the public records by filing a ucc-1 financing statement. Compeer Financial PCA FKA. Secured Party Creditor SPC someone who was a US.

What Is A Secured Party Creditor Understand Contract Law And You Win

Secured Party Creditor Id Sovereign Filing Solutions

Secured Party Getting Started Updated Getting Started As Secured Party Creditor Private Banker Youtube

Secured Party Creditor Black Card Fill Online Printable Fillable Blank Pdffiller

Secured Party Creditor Process Arrangement 2016 Complete Legal Document Online Us Legal Forms

Becoming A Secured Party Creditor And Why It S Easier Than You Think With A Complete Ucc 1 Example Form By Larry Lewis Nook Book Ebook Barnes Noble

Secured Party Creditor Id Sovereign Connection

Introduction To Secured Transactions

Why Become A Secured Party Creditor

Fillable Online What Is A Secured Party Creditor Fax Email Print Pdffiller

Secured Party Creditor Id Sovereign Filing Solutions

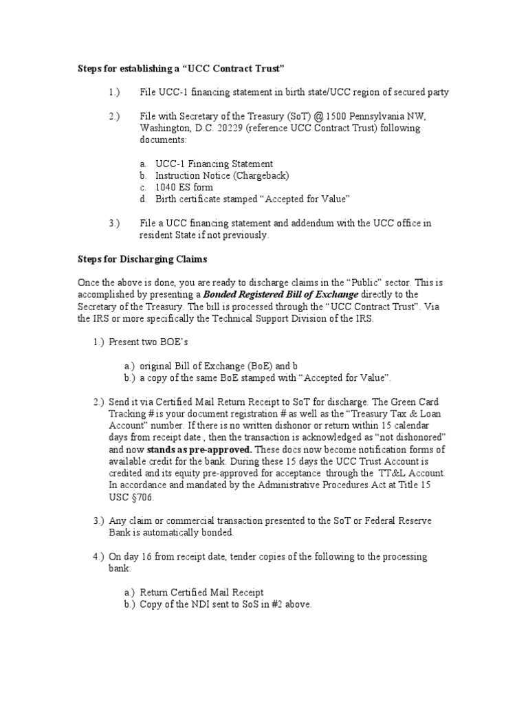
Steps For Secured Party Uniform Commercial Code Debits And Credits

Secured Party Creditor Discover Freedom Sovereignty Understand Contract Law And You Win

Secured Party Creditor Private Banker Global Id Moziahcorporation


Comments